<strong>简介</strong>
在开关电源的设计中电感的设计为工程师带来的许多的挑战。工程师不仅要选择电感值,还要考虑电感可承受的电流,绕线电阻,机械尺寸等等。本文专注于解释:电感上的DC电流效应。这也会为选择合适的电感提供必要的信息。
<strong>理解电感的功能</strong>
电感常常被理解为开关电源输出端中的LC滤波电路中的L(C是其中的输出电容)。虽然这样理解是正确的,但是为了理解电感的设计就必须更深入的了解电感的行为。
在降压转换中(Fairchild典型的开关控制器),电感的一端是连接到DC输出电压。另一端通过开关频率切换连接到输入电压或GND。
<center><img src="http://mouser.eetrend.com/files/2020-07/wen_zhang_/100050411-102042-1.j…; alt=“” ></center>
在状态1过程中,电感会通过(高边 “high-side”)MOSFET连接到输入电压。在状态2过程中,电感连接到GND。由于使用了这类的控制器,可以采用两种方式实现电感接地:通过 二极管接地或通过(低边“low-side”)MOSFET接地。如果是后一种方式,转换器就称为“同步(synchronus)”方式。
现在再考虑一下在这两个状态下流过电感的电流是如果变化的。在状态1过程中,电感的一端连接到输入电压,另一端连接到输出电压。对于一个降压转换器,输 入电压必须比输出电压高,因此会在电感上形成正向压降。相反,在状态2过程中,原来连接到输入电压的电感一端被连接到地。对于一个降压转换器,输出电压必 然为正端,因此会在电感上形成负向的压降。
我们利用电感上电压计算公式:
<center>V=L(dI/dt)</center>
因此,当电感上的电压为正时(状态1),电感上的电流就会增加;当电感上的电压为负时(状态2),电感上的电流就会减小。通过电感的电流如图2所示:
<center><img src="http://mouser.eetrend.com/files/2020-07/wen_zhang_/100050411-102043-2.j…; alt=“” ></center>
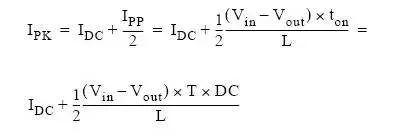
通过上图我们可以看到,流过电感的最大电流为DC电流加开关峰峰电流的一半。上图也称为纹波电流。根据上述的公式,我们可以计算出峰值电流:
<center><img src="http://mouser.eetrend.com/files/2020-07/wen_zhang_/100050411-102044-3.j…; alt=“” ></center>
其中,t<sub>on</sub>是状态1的时间,T是开关周期(开关频率的倒数),DC为状态1的占空比。
警告:上面的计算是假设各元器件(MOSFET上的导通压降,电感的导通压降或异步电路中肖特基二极管的正向压降)上的压降对比输入和输出电压是可以忽略的。
如果,器件的下降不可忽略,就要用下列公式作精确计算:
同步转换电路:
<center><img src="http://mouser.eetrend.com/files/2020-07/wen_zhang_/100050411-102046-4.j…; alt=“” ></center>
异步转换电路:
<center><img src="http://mouser.eetrend.com/files/2020-07/wen_zhang_/100050411-102047-5.j…; alt=“” ></center>
其中,R<sub>s</sub>为感应电阻阻抗加电感绕线电阻的阻。V<sub>f</sub> 是肖特基二极管的正向压降。R是R<sub>s</sub>加MOSFET导通电阻,R=R<sub>s</sub>+R<sub>m</sub>。
<strong>电感磁芯的饱和度 </strong>
通过已经计算的电感峰值电流,我们可以发现电感上产生了什么。很容易会知道,随着通过电感的电流增加,它的电感量会减小。这是由于磁芯材料的物理特性决 定的。电感量会减少多少就很重要了:如果电感量减小很多,转换器就不会正常工作了。当通过电感的电流大到电感实效的程度,此时的电流称为“饱和电流”。这 也是电感的基本参数。
实际上,转换电路中的开关功率电感总会有一个“软”饱和度。要了解这个概念可以观察实际测量的电感Vs DC电流的曲线:
<center><img src="http://mouser.eetrend.com/files/2020-07/wen_zhang_/100050411-102048-6.j…; alt=“” ></center>
当电流增加到一定程度后,电感量就不会急剧下降了,这就称为“软”饱和特性。如果电流再增加,电感就会损坏了。
注意:电感量下降在很多类的电感中都会存在。例如:toroids,gapped E-cores等。但是,rod core电感就不会有这种变化。
有了这个软饱和的特性,我们就可以知道在所有的转换器中为什么都会规定在DC输出电流下的最小电感量;而且由于纹波电流的变化也不会严重影响电感量。在 所有的应用中都希望纹波电流尽量的小,因为它会影响输出电压的纹波。这也就是为什么大家总是很关心DC输出电流下的电感量,而会在Spec中忽略纹波电流下的电感量。
本文转载自:电子工程世界
免责声明:本文为转载文章,转载此文目的在于传递更多信息,版权归原作者所有。本文所用视频、图片、文字如涉及作品版权问题,请联系小编进行处理。
<strong><a href="http://www.mouser.cn/applications/" style="color:red;">点击这里,获取更多关于应用和技术的有关信息</a></strong>
<strong><a href="https://www.mouser.cn/blog" style="color:red;">点击这里,获取更多工程师博客的有关信息</a></strong>