3.4.1 平稳性
尽管随机过程在时间上可能具有显著的变化性,但确实存在一类随机过程在任意两个时间时刻表现出相同的性质;即该随机过程是时间不变的。我们称这类随机过程为平稳过程。 平稳过程的两种常见形式是严格平稳(SSS)随机过程与宽平稳(WSS)随机过程。当一个随机过程的统计特性对原点的平移保持不变时,该过程称为宽平稳随机过程(SSS); 即该随机过程X(t, ω)和 X(t+c, ω)在任意时间平移 c下均具有相同的统计特性。因此,根据定义,宽平稳随机过程的第n阶密度函数应满足以下表达式:

其中, c为任意时间平移。
由此可得,对于任意时间平移c,f(x;t)=f(x;t+c),这表明随机过程X(t,ω)的一级密度函数与时间t无关,即:

此外,f(x1,x2; t1,t2) = f(x1,x2; t1+c, t2+c),对于任意值的c均不依赖。因此,这意味着密度函数可表示为

因此,随机过程在时刻t和t+τ的联合密度函数不依赖于t,且等于 f(x1,x2;τ )。虽然SSS随机过程基于其时间不变的有用特性可以获得数学上可处理的解,但SSS随机过程在实际通信系统中的出现频率并不高。另一方面,WSS随机过程在通信系统的分析中出现得更为频繁。当随机过程X(t, ω)满足以下两个条件时,则被视为宽平稳(WSS)随机过程:
•均值函数µX(t)不依赖于时间t;即µX(t) =E[X(t,ω)] =µX。
•自相关函数RXX(t+τ,t)仅依赖于t与t+τ之间的相对差值;即,RXX(t+τ,t) =RXX(τ)。关于宽平稳随机过程的几点观察包括:
•宽平稳随机过程的平均功率与时间无关,因为E[|X(t, ω)|2] = RXX (0)。
•宽平稳随机过程的自协方差函数为CXX(τ) =RXX(τ)− |µX|2。
•宽平稳随机过程的相关系数表示为ρXX(τ) =CXX(τ)/CXX(0)。
•若随机过程X(t,ω)和Y(t,ω)均为宽平稳,且其互相关仅依赖于τ=t1−t2。则两者为联合宽平稳。
•若随机过程 X(t,ω)为宽平稳且无关,则 CXX(τ) = qδ(τ),其中q为某乘法常数。
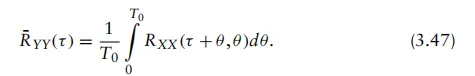
无线数据传输中常出现另一种平稳性特征形式。周期平稳随机过程Y(t)由跨时间t周期性的均值函数µ_Y(t)及对于固定τ值,在θ上周期性的自相关函数R_{YY}(τ+θ,θ)定义。
因此,具有周期T_0的周期平稳随机过程Y(t)可用数学表达式描述为

在通信系统工程领域,周期平稳随机过程常被用于在含噪信道环境下检测无线信号,目标无线信号会产生独特的特征函数,从而使得在相同时空-频率区域存在多个信号时能够实现其识别。
3.5 高斯噪声信道
如前所述,高斯;即正态随机变量常用于建模通信信道中引入的噪声。实际上,通信系统及其性能的许多分析通常是假设噪声信道具有高斯随机特性。
因此,高斯随机变量成为通信系统研究中最常用的随机变量之一。
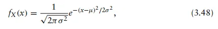
我们将单变量高斯概率密度函数定义为

其中µ是高斯随机变量X的均值,σ2是X的方差。当µ=0且σ2=1时,我们称X为标准正态随机变量。
虽然单变量高斯分布在许多应用中被广泛使用,但在某些情况下,我们必须采用二元高斯分布来描述涉及两个具有一定相关性的高斯随机变量的特定应用;例如,具有同相和正交信号分量的复基带传输信道。二元高斯分布的示例如图3.7所示。

假设我们希望对一个复基带信道建模,其中同相和正交的噪声分量用二元高斯随机变量表示。在若干情况下,我们希望同相分量与正交分量

该噪声的分量应当无关。在其他情况下,我们可能希望它们高度相关。因此,我们需要确保对这些二元高斯随机变量进行准确建模。代码3.4中的MATLAB脚本对这类表示信道噪声的二元高斯随机变量进行了建模,其中我们使用函数andn生成了两个长度为L的向量,这些向量包含具有高斯特性的值。由于我们分别生成了这两个向量,默认情况下它们在此情况下是无关的。此外,我们令两个向量均为零均值,并且它们均具有标准差std_dev。 通过这两个向量,我们可以轻松获得无关的二元高斯分布数据以及相关的二元高斯分布数据。
基于图3.8所示的二维密度函数,我们可以清晰地观察到无关和相关二元高斯随机变量之间的差异。在无关情况下,二元高斯随机变量在x/y平面上表现出对称性,如图3.8(a)(三维视角)和图3.8(b)(俯视图)所示。
然而,一旦我们在二元高斯随机变量的同相和正交分量之间引入一定的相关性,概率密度的形状便会发生变形,在一个方向上压缩而在另一个方向上扩展。

图 3.8 若干相关与无关二元高斯密度的示例。(a) 无关二元高斯(3维视图),(b) 无关二元高斯(俯视图),(c) 相关二元高斯(3维视图),以及(d) 相关二元高斯(俯视图)
3.5.1 高斯过程
如前所述,存在某些情形,通信系统中某一随机现象的概率特性随时间变化(例如,由高斯随机变量表示的噪声信道的特性)。 因此,我们需要一种数学表示方法,能够描述这些现象随时间变化的随机性,尤其是针对那些由高斯随机变量建模的事件。参见第3.4节,我们可以用高斯过程来建模时变高斯随机变量。高斯过程是一种随机过程,其实现为与时间(或空间)范围内每一点对应的随机值组成,且每个随机变量均服从正态分布。此外,任意有限个该类随机变量的集合服从多元正态分布。
高斯过程在统计建模中具有重要意义,因为其继承了正态分布的特性。例如,若将随机过程建模为高斯过程,则可明确求得各种派生量的分布。这些派生量包括过程在某段时间范围内的平均值,以及使用少数时间点的样本值估计该平均值时产生的误差。
给定以下表达式:

其中, µ_Y为均值, σ_Y^2为方差。此类过程重要在于它们与诸多物理现象的行为高度吻合,例如加性高斯白噪声(AWGN)。

文章来源:威视锐科技









