4.2 数字调制
在模拟调制方案中,模拟消息信号调制于连续波上,然后通过介质传输。相反,数字调制是利用数字消息信号对连续波形进行调制。正如本章节前面所示,这可以通过根据特定位模式,在每个符号周期T内独特地操作信号的振幅和相位信息来实现。然而,大多数数字调制技术存在一个中间步骤,本文节将重点介绍:将由b位组成的二进制消息m_b映射到一个符号,该符号再用于以振幅和相位的形式定义连续波形的物理特性。特别地,对m_b可能的2^b个取值中的每一个,我们需要一个唯一的信号s_i(t),1≤i≤2^b,该信号随后用于调制连续波形,如图4.7所示。

本节将研究几种将二进制数据映射为可用于调制连续波形符号的不同方法家族。这些调制方案家族是根据映射过程中操作的物理特性或特性组合,以唯一表示特定位模式而定义的。然而,这些不同家族之间存在多种权衡,包括每位映射到符号所消耗的发射功率效率。因此,我们将先探讨如何评估这种权衡,然后研究三大类数字调制方案及其相互比较。
4.2.1 功率效率
为了评估将一位映射为符号时每个符号所消耗的发射功率效果,可采用功率效率度量。假设我们定义符号s(t)的能量为

其中T为符号的周期。那么,对于由M个符号组成的调制方案,我们可以通过以下加权平均值定义平均符号能量:


4.2.2 脉冲振幅调制
在各种可用于传递数字信息的信号波形物理特性中,最显著的选择是信号振幅电平。利用这一物理特性,脉冲振幅调制(PAM)是一种数字调制方案,其中数据信息被编码于一系列信号脉冲的振幅之中。此外,PAM传输的解调通过在每个符号周期检测载波的振幅水平来实现。
PAM最基本的形式是二进制脉冲振幅调制(B-PAM),其中单个二进制数字被映射到波形s(t),该波形根据以下调制规则具备两个振幅水平:

其中波形s1(t)拥有唯一的振幅水平,波形s2(t)同样基于波形s(t),但具有另外唯一的振幅水平。
注意,波形s(t)定义于时间周期T内,其余时间为零。
由于符号的持续时间等于比特的持续时间,二进制脉冲振幅调制传输的比特率定义为Rb=1/T位每秒。
波形 s(t)的能量定义为

假设将s(t)定义为矩形波形,即

其中u(t)为单位阶跃函数,且A为信号振幅。此外,假设比特“1”由振幅A表示,比特“0”由振幅−A表示。随后,我们可以将调制规则表述为

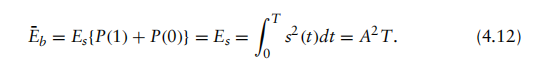
其中P(1)为比特“1”的概率,P(0)为比特“0”的概率。
因此,若定义s_1(t)=s(t)且s_2(t)=−s(t),则平均每位能量等于

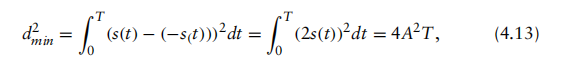
计算最小欧氏距离,结果为

然后代入式(4.8),得出二进制脉冲振幅调制传输的功率效率结果二进制脉冲振幅调制传输的功率效率为

正如我们在本节余下部分所观察到的,当所有可能的二进制序列均映射到唯一符号时,对于任何数字调制方案,功率效率为4是可获得的最佳结果。
假设我们现在将关于平均比特能量、最小欧氏距离和功率效率的二进制脉冲振幅调制(B-PAM)结果加以推广,并将其应用于将二进制序列映射到M个唯一信号振幅水平之一的情形,该方案称为M元脉冲振幅调制(M-PAM)。 首先,我们将M-PAM波形表示为



最后,解出功率效率为

4.2.3 正交振幅调制
与PAM类似,正交振幅调制(QAM)是一种振幅调制方式。然而,QAM调制是一种二维信号调制方案,与PAM调制存在本质区别。QAM调制的两个维度;即同相分量和正交分量,它们彼此正交,这意味着可以实质上免费加倍传输数据速率。此外,矩形正交振幅调制可视为两路正交的PAM信号同时传输。
数学上,若矩形QAM信号星座由M个唯一波形组成,则可表示为√M阶PAM信号在正交维度上的同时传输。需注意,QAM信号星座也可呈现嵌套圆形(称为圆形QAM)或任何涉及正交调制器的其他几何图案。矩形QAM因其接收机结构相对简单而广受欢迎,如图4.9所示,每个维度采用一个√M阶PAM探测器。


其中,ωc为载波频率,Ai和Bj分别为同相与正交振幅级别。注意余弦函数与正弦函数如何用于调制这些振幅级别,从而实现正交维度的调制。将M-QAM形象化为信号星座时,信号波形将在实轴和虚轴上对应位置,如图4.10所示。
为了计算M-QAM的功率效率εp,M−QAM,首先需要计算最小欧氏距离,其表达式为

MATLAB实践示例:QAM调制是一种在同一符号周期内高效传输信息的非常实用的技术。如前所述,该技术利用同相和正交两个域,正交地并行传输信息,分别通过两个信道。在上述MATLAB脚本中,我们实现了一个QAM发射机和接收机,接收二进制向量samp_I和samp_Q,将其调制到QAM传输的同相和正交信道中,随后通过QAM提取这些二进制向量。

解调。QAM调制的核心是正弦函数和余弦函数,这两者在数学上彼此正交。正如脚本中所示,同相和正交的数据在发射机处分别调制到余弦波与正弦波信号上。在接收机处,通过利用该正交性及三角函数的性质,从接收信号中分离出同相和正交信息。
在图4.11中,可以观察到余弦波和正弦波作为信息载波的应用,这些信息能够被同时传输并实现完美恢复。通过利用两个维度传输信息,可更高效地利用每个符号周期传输数据。
文章来源:威视锐科技