4.4 信号空间概念
至此,我们已从信号波形角度研究了数字通信系统。基于此视角,我们开发了用于分析不同调制方案的功率效率和误码率的数学工具。然而,在某些情况下,使用信号波形框架可能显得繁琐或不够便捷。本节将介绍另一种表征和分析调制方案的方法,即采用不同的数学表示:信号向量。

其中向量si的元素定义了每个用于表示该波形的正交归一函数的振幅缩放。图4.17展示了由三个正交归一函数表示的信号波形示例。因此,基于信号波形与正交归一函数之间的这种关系,即信号波形可表示为函数的加权和,我们可以将信号波形简洁地描述为一个向量,且该向量形式使我们能够采用基于线性代数的相对简便的数学运算。
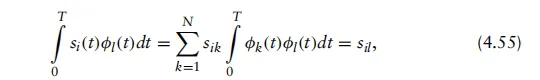
为了求解向量元素sil ,需要解下列表达式

这本质上是信号波形si(t) 在正交归一函数φl(t) 上的点积或投影。同时,若对信号波形si(t)和sj(t) 执行向量点积运算,即得到等于

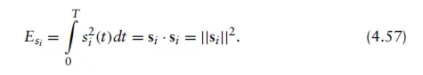
信号si(t)的能量等于

所有这些数学运算将在确定调制方案的功率效率或推导接收机的最优判决规则时使用。

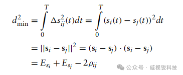
假设我们希望采用信号向量方法而非信号波形方法计算调制方案的功率效率。第一步是计算最小欧氏距离,该问题可通过以下方法解决:

其中,信号波形si(t)与sj(t)之间的相关项定义为

为了求解功率效率,我们选择一组正交归一基函数φi(t),i=1, 2, ...k,其中k为信号向量空间的维数。给定这组函数,我们现在可以表示向量si,i=1, 2,...,共M个,其中si=(si1, si2, ..., sik),且

因此,利用信号和正交归一函数的向量表示,可以计算最小欧氏距离:

平均符号能量和位能量分别为:

以及功率效率为:

4.5 Gram-Schmidt 正交化
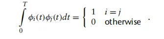
在数学中,尤其在线性代数和数值分析领域,Gram-Schmidt正交化过程是一种用于在内积空间(如欧几里得空间 Rn)中构造标准正交函数集的方法。Gram-Schmidt 正交化过程以有限的信号波形集{s1(t),...,sM(t)}为基础,生成一组正交函数{φ1(t),...,φi(t)},该组函数张成空间Rn。 注意,标准正交函数满足以下性质:

此外,信号波形si(t)可以表示为这些标准正交基函数的加权和;即

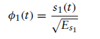
然而,我们现在需要一种方法来生成一组正交归一基函数{φj(t)}。为了从一组信号波形{s1(t),...,sM(t)}导出一组正交基函数{φ1(t),...,φi(t)},我们首先从s1(t)开始并进行归一化:

其中,Es1是信号s1(t)的能量。该归一化的信号波形s1(t)将作为我们的第一个正交归一基函数,基于此构建剩余的正交归一基函数集合。换言之,我们实际上是基于调制方案中的现有信号波形,自举一组正交归一基函数。注意,我们可以将s1(t)表示为

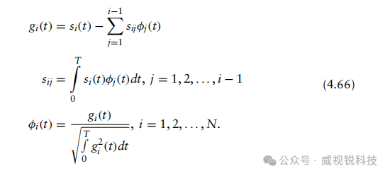
接下来,我们希望构造第二个正交归一函数φ2(t)。 为完成此任务,我们以信号波形s2(t)作为起始点。然而,s2(t)可能包含φ1(t)的分量,因此在归一化之前需要去除该分量,以将该波形转换为φ2(t)。为了实现这一点,我们首先通过计算这两个函数的点积,确定φ1(t)在s2(t)中的含量,并确定s2(t)在φ1(t)上的投影;即,

为了获得基函数φ2(t),我们定义中间函数:

该函数在区间0≤t≤T上与φ1(t)正交,因为我们已将s2(t)中的φ1(t)分量去除。最后对g2(t)进行归一化,得到基函数φ2(t):

可展开为

其中Es2是信号s2(t)的能量。快速的合理性检验明确表明,标准正交基函数φ2(t)满足约束条件

通常,我们可以定义以下函数,用于迭代生成一组正交归一基函数:

我们现在将演示一个关于 Gram-Schmidt 正交化过程的实例。
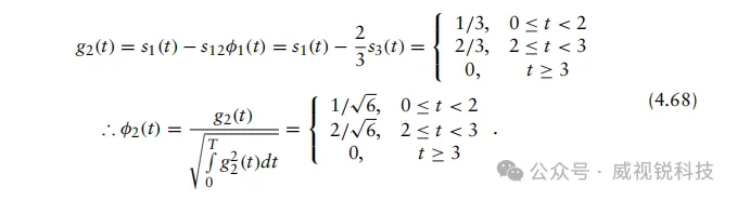
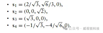
例子:假设我们按照信号s3(t)、s1(t)、s4(t)、s2(t)的顺序,对图4.18中所示信号执行Gram-Schmidt正交化过程,并获得一组正交归一函数{φm(t)}。 请注意,采用信号波形生成正交归一基函数的顺序非常重要,因为不同的信号波形排列顺序可能产生不同的正交归一基函数集。
从s3(t)开始,我们得到


然后,借助φ1(t)的结果,利用s1(t)推导出正交归一基函数φ2(t):

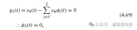
我们随后对s4(t)重复此操作:

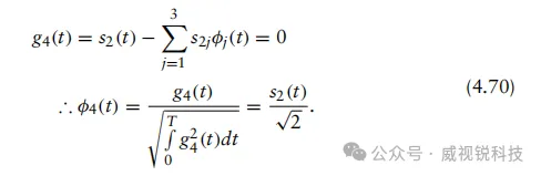
但我们注意到所得的φ3(t)等于零。这意味着信号波形s4(t)可以仅由φ1(t)和φ2(t)完全描述。最后,对于s2(t),得到以下结果:

因此,定义正交归一基函数{φ1(t), φ2(t), φ4(t)}后,现可将四个信号波形表示为

现在,让我们通过正交归一基函数使用以下MATLAB脚本实现这些波形。在本脚本中,假设每单位时间包含N_samp个采样时刻。因此,鉴于每个波形的时长为3秒,在该MATLAB模型中每个波形的表示长度为3*N_samp。

利用这些正交归一基函数及Gram-Schmidt正交化过程的结果,我们可以通过该MATLAB脚本生成图4.18中所示的相同波形,如图4.19所示。
文章来源:威视锐科技