跳转到主要内容

关于模拟电路,你了解多少?(三)

526095766_642 提交于

<strong>并联电路</strong>

多个电路元件的两端分别连接于两个节点,这种连接方式称为并联。并联电路电源输出的电流等于通过每个元件的电流的代数之和,输出的电压等于每个元件两端的电压。

<center><img src="http://mouser.eetrend.com/files/2019-05/博客/100042984-68985-z1.png&quot; alt=“” ></center>

串联分压,并联分流。

<strong>电阻并联</strong>

如下图所示,n个电阻器并联在一起,然后将电源连接到该并联电路的两端。

关于模拟电路,你了解多少?(二)

526095766_642 提交于

<strong>电感</strong>

电感是通过电流改变产生电动势,从而抵抗电流改变的一种特性,其基本单位是亨利H,可由线圈的直径、长度、横截面积、线圈数等计算元件的电感量。

电感器是将电能转化为磁能存储起来的元件,具有一定的电感,一般由骨架、绕组线圈、屏蔽罩、封装材料、磁心或铁心等组成。

电感元件依据外观和功能的不同会有不同称呼,例如:

线圈:漆包线绕制为多圈状,作为电磁铁和变压器中使用的电感。
扼流圈:对高频提供较大电阻,通过直流或低频的电流,因而称为扼流圈。
绕组:配合铁磁性材料,安装在变压器、电动机、发电机中使用的较大电感。
磁珠:导线穿越磁性物质,而无线圈状,常充当高频滤波作用的小电感,依据外观称为磁珠。

电感的计算方式与电阻类似,串联时逐个相加,并联时总电感的倒数等于各个电感的倒数之和。

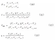
开关电源该如何配置合适的电感?

cathy /

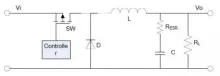
开关电源(SMPS)是一种非常高效的电源变换器,其理论值更是接近100%,种类繁多。按拓扑结构分,有Boost、Buck、Boost-Buck、Charge-pump等;按开关控制方式分,有PWM、PFM;按开关管类别分,有BJT、FET、IGBT等。本次讨论以数据卡电源管理常用的PWM控制Buck、Boost型为主。 那接下来就让我们一起学习下开关电源该如何配置合适的电感吧~

开关电源的主要部件包括:输入源、开关管、储能电感、控制电路、二极管、负载和输出电容。目前绝大部分半导体厂商会将开关管、控制电路、二极管集成到一颗CMOS/Bipolar工艺的电源管理IC中,极大简化了外部电路。

其中储能电感作为开关电源的一个关键器件,对电源性能的好坏有重要作用,同时也是产品设计工程师重点关注和调试的对象。随着以手机、PMP、数据卡为代表的消费类电子设备的尺寸正朝着轻、薄、小巧、时尚的趋势发展,但与之相反产品性能越强所需要的电感和电容容量更大、尺寸更大。因此,如何在保证产品性能的前提下,减小开关电源电感的尺寸(所占据的PCB面积和高度)是本文要讨论的一个重要命题,设计者将不得不在电路性能和电感参数间进行折中。

10种电感特性的比较!

cathy /

<strong>10种常用电感罗列</strong>

1:工字型电感;
2:色环电感;
3:空芯电感:
4:环形线圈电感;
5:贴片叠层高频电感;
6:磁棒电感;
7:SMD贴片功率电感;
8:穿心磁珠
9:贴片磁珠;
10:贴片高频变压器,插件高频变压器;

<center><img src="http://mouser.eetrend.com/files/2018-12/wen_zhang_/100016646-55758-dg.j…; alt=“” width="600"></center>

电源Buck电路中的电感如何选择?

cathy /

目前市场上有很多的LED驱动电源在实际应用时发现,当将电源放在铝管的灯管内输出电流会下降。从而导致 LED灯的输出光通量下降。这种问题同样也会发生在塑料管的灯管,因为在最终的客户手里,是将灯管装在金属(通常其材料也是铝)制的灯具内,所以此时灯电流也会发生下降。这份应用笔记将帮助大家去理解和解决这个问题。

<strong>简单的磁学介绍</strong>

“在物理学的观点里,任何材料都是磁性材料。也就是说,每一种材料都有一定的磁现象。有的材料在磁场内会抵消一小部分磁场强度,呈现「反磁性」(diamagnetism),称为逆磁性材料,如铜、铝等;有的在磁场内有微小的正感应,呈现「顺磁性」(paramagnetism),顺磁性材料,如空气、铁等”

正如上所指,对于一个开环磁路的电感(以工字电感为例),其磁力线的主磁路是空气。如图1。

电感种类和特性分析及选型指南

cathy 提交于

电感器是开关转换器中非常重要的元器件,如用于储能及功率滤波器。电感器的种类繁多,例如用于不同的应用(从低频到高频),或因铁芯材料不同而影响电感器的特性等等。用于开关转换器的电感器属于高频的磁性组件,然而因材料、工作条件(如电压与电流)、环境温度等种种因素,所呈现的特性和理论上差异很大。因此在电路设计时,除了电感值这个基本参数外,仍须考虑电感器的阻抗与交流电阻和频率的关系、铁芯损失及饱和电流特性等等。本文将介绍几种重要的电感铁芯材料及其特性,也引导电源工程师选择市售标准的电感器。

<strong>前言</strong>

电感器(inductor)是一种电磁感应组件,用绝缘的导线在绕线支架(bobbin)或铁芯(core)上绕制一定匝数的线圈(coil)而成,此线圈称为电感线圈或电感器。根据电磁感应原理,当线圈与磁场有相对运动,或是线圈通过交流电流产生交变磁场时,会产生感应电压来抵抗原磁场变化,而此抑制电流变化的特性就称为电感(inductance)。

电感值的公式如式(1),其与磁导率、绕组匝数N的平方、及等效磁路截面积Ae成正比,而与等效磁路长度le成反比。电感的种类很多,各适用于不同的应用之中;电感量与线圈绕组的形状、大小、绕线方式、匝数、及中间导磁材料的种类等有关。

贴片电容、电阻、电感基础知识汇总!

cathy /

非贴片元件的电子元件本体,可以承载较多的产信息,如规格型号、制造厂商、产品序号等。贴片元件的体积或尺寸是以毫米为计的,元件本体上不允许标注太多的信息,标识方法通常有:

1)简化标识法。将常规标识型号进行简化,如将74LS14(六反相器数字IC)标识为LS14;

2)代码标注法,将标识进一步简化,称为代码标注法。如贴片晶体管的-24、1L等,更像是密码,需要用资料“破译”后,才能知道标识背后元件规格型号的含义;

3)无标识。小功率(如16/1W)贴片电阻,和(PF级别)小容量电容,因元件本体太小,无法印出标识,干脆就成为无标识元件。

初学者每每面临这样令人困惑又能非常挠头的问题:如何由IC元件上的标注代码(也称印字),判断是什么器件?如何查找相关IC的电路资料?无标识(印字)元件怎样判断是什么器件,如何测量其好坏?可否用其它型号的元件(甚至非贴片元件)对贴片元件进行代换?贴片元件的封装形式有哪些啊?等等。

<strong>贴片电阻</strong>

超详细的元器件分类大全—电阻、电容、电感

cathy /

<strong>电 阻 </strong>

导电体对电流的阻碍作用称为电阻,用符号R表示,单位为欧姆、千欧、兆欧,分别用Ω、KΩ、MΩ表示。

<strong>一、电阻的型号命名方法:</strong>

国产电阻器的型号由四部分组成(不适用敏感电阻)

第一部分:主称 ,用字母表示,表示产品的名字。如R表示电阻,W表示电位器。

第二部分:材料 ,用字母表示,表示电阻体用什么材料组成,T-碳膜、H-合成碳膜、S-有机实心、N-无机实心、J-金属膜、Y-氮化膜、C-沉积膜、I-玻璃釉膜、X-线绕。

第三部分:分类,一般用数字表示,个别类型用字母表示,表示产品属于什么类型。1-普通、2-普通、3-超高频 、4-高阻、5-高温、6-精密、7-精密、8-高压、9-特殊、G-高功率、T-可调。

第四部分 : 序号,用数字表示,表示同类产品中不同品种,以区分产品的外型尺寸和性能指标等 例如:R T 1 1 型普通碳膜电阻

<strong>二、电阻器的分类 </strong>

1、线绕电阻器:通用线绕电阻器、精密线绕电阻器、大功率线绕电阻器、高频线绕电阻器。

高频电路设计中,如何应对“不理想”的电容与电感?

cathy /

<strong>正确理解AC耦合电容</strong>

在高频电路设计中,经常会用到AC耦合电容,要么在芯片之间加两颗直连,要么在芯片与连接器之间加两颗。看似简单,但一切都因为信号的高速而不同。信号的高速传输使这颗电容变得不“理想”,这颗电容没有设计好,就可能会导致整个项目的失败。因此,对高速电路而言,这颗AC耦合电容没有优化好将是“致命”的。

下面笔者依据之前的项目经验,盘点分析一下我在这颗电容的使用上遇到的一些问题。

最开始要先明白AC耦合电容的作用。一般来讲,我们用AC耦合电容来提供直流偏压,就是滤出信号的直流分量,使信号关于0轴对称。既然是这个作用,那么这颗电容是不是可以放在通道的任何位置呢?这就是笔者最初做高频电路时,在这颗电容使用上遇到的第一个问题——AC耦合电容到底该放在哪。

这里拿一个项目中常遇到的典型通路来分析。