跳转到主要内容

MOSFET与三极管的ON状态区别

demi 提交于

MOSFET和三极管,在ON 状态时,MOSFET通常用Rds,三极管通常用饱和Vce。那么是否存在能够反过来的情况,三极管用饱和Rce,而MOSFET用饱和Vds呢?

三极管ON状态时工作于饱和区,导通电流Ice主要由Ib与Vce决定,由于三极管的基极驱动电流Ib一般不能保持恒定,因而Ice就不能简单的仅 由Vce来决定,即不能采用饱和Rce来表示(因Rce会变化)。由于饱和状态下Vce较小,所以三极管一般用饱和Vce表示。

MOS管在ON状态时工作于线性区(相当于三极管的饱和区),与三极管相似,电流Ids由Vgs和Vds决定,但MOS管的驱动电压Vgs一般可保持不变,因而Ids可仅受Vds影响,即在Vgs固定的情况下,导通阻抗Rds基本保持不变,所以MOS管采用Rds方式。

电流可以双向流过 MOSFET的D和S ,正是MOSFET这个突出的优点,让同步整流中没有DCM的概念,能量可以从输入传递到输出,也可以从输出返还给输入。能实现能量双向流动。

看完这篇,吃透各类MOSFET电路!

cathy /

<strong>一、功率MOSFET的正向导通等效电路</strong>

1)等效电路:

<center><img src="http://mouser.eetrend.com/files/2018-12/wen_zhang_/100016698-55898-1.pn…; alt=“”></center>

2)说明:

功率 MOSFET 正向导通时可用一电阻等效,该电阻与温度有关,温度升高,该电阻变大;它还与门极驱动电压的大小有关,驱动电压升高,该电阻变小。详细的关系曲线可从制造商的手册中获得。

<strong>二、功率MOSFET的反向导通等效电路(1)</strong>

1)等效电路(门极不加控制):

意法半导体高效超结MOSFET瞄准节能型功率转换拓扑

demi /

意法半导体推出MDmesh™系列600V超结晶体管,该产品针对提高中等功率谐振软开关和硬开关转换器拓扑能效而设计。

针对软开关技术优化的阈值电压使新型晶体管非常适用于节能应用中的LLC谐振转换器和升压PFC转换器。电容电压曲线有助于提高轻载能效,最低16 nC的栅极电荷量(Qg)可实现高开关频率,这两个优点让MDmesh M6器件在硬开关拓扑结构中也有良好的能效表现。

此外,意法半导体最先进的M6超结技术将RDS(ON)电阻降至0.036Ω,有助于电池充电器、电源适配器、PC电源、LED照明驱动器、电信设备和服务器电源以及太阳能微型逆变器等设备进一步提高能效和功率密度。

封装选择包括节省空间和热效率高的新型无引线TO-LL封装,以及流行的通孔封装和贴装封装,包括DPAK、D2PAK、TO-220、TO-247和PowerFLAT™。 JEDEC注册的TO-LL功率封装比现有的7引脚D²PAK封装,面积小30%,厚度薄50%,可实现尺寸更紧凑、空间利用率更高的电源转换器。TO-LL的低寄生电感还有助于最大限度地减少电磁干扰。

一文搞懂MOSFET与IGBT的本质区别

demi /

1、由于MOSFET的结构,通常它可以做到电流很大,可以到上KA,但耐压能力没有IGBT强。

2、IGBT可以做很大功率,电流和电压都可以,就是一点频率不是太高,目前IGBT硬开关速度可以到100KHZ,那已经是不错了。不过相对于MOSFET的工作频率还是九牛一毛,MOSFET可以工作到几百KHZ,上MHZ,以至几十MHZ。

3、就其应用:根据其特点MOSFET应用于开关电源,镇流器,高频感应加热;高频逆变焊机;通信电源等等高频电源领域;IGBT集中应用于焊机,逆变器,变频器,电镀电解电源,超音频感应加热等领域。

开关电源(SMPS) 的性能在很大程度上依赖于功率半导体器件的选择,即开关管和整流器。

虽然没有万全的方案来解决选择IGBT还是MOSFET的问题,但针对特定SMPS应用中的IGBT 和MOSFET进行性能比较,确定关键参数的范围还是能起到一定的参考作用。

本文将对一些参数进行探讨,如硬开关和软开关ZVS(零电压转换) 拓扑中的开关损耗,并对电路和器件特性相关的三个主要功率开关损耗—导通损耗、传导损耗和关断损耗进行描述。此外,还通过举例说明二极管的恢复特性是决定MOSFET 或 IGBT导通开关损耗的主要因素,讨论二极管恢复性能对于硬开关拓扑的影响。

MOSFET电容对LLC串联谐振电路的作用

cathy /

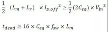
LLC的优势之一就是能够在比较宽的负载范围内实现原边MOSFET的零电压开通(ZVS),MOSFET的开通损耗理论上就降为零了。要保证LLC原边MOSFET的ZVS,需要满足以下三个基本条件:

1)上下开关管50%占空比,1800对称的驱动电压波形;

2)感性谐振腔并有足够的感性电流;

3)要有足够的死区时间维持ZVS。

图a)是典型的LLC串联谐振电路。图b)是感性负载下MOSFET的工作波形。由于感性负载下,电流相位上会超前电压,因此保证了MOSFET运行的ZVS。要保证MOSFET运行在感性区,谐振电感上的谐振电流必须足够大,以确保MOSFET源漏间等效的寄生电容上存储的电荷可以在死区时间内被完全释放干净。

Littelfuse宣布推出1700V、1 Ohm碳化硅MOSFET

demi /

<font color="#FD8900">支持电动和混合动力汽车、数据中心和辅助电源等高频、高效电源控制应用</font>

10月22日,Littelfuse公司宣布推出其首款1700V碳化硅MOSFET LSIC1MO170E1000,扩充了其碳化硅MOSFET器件组合。 LSIC1MO170E1000既是Littelfuse碳化硅MOSFET产品的重要补充,也是Littelfuse公司已发布的1200V碳化硅MOSFET和肖特基二极管的强有力补充。最终用户将受益于更加紧凑节能的系统以及潜在更低的总体拥有成本。

碳化硅MOSFET技术带来的高效性可为诸多要求严格的应用提供多重优势,包括电动和混动汽车、数据中心及辅助电源。 相比同类的Si IGBT,LSIC1MO170E1000碳化硅MOSFET可带来一系列系统级优化机会,包括提高效率、增加功率密度、降低冷却要求以及降低系统级成本的可能性。

此外,相比市面上其他业内领先的碳化硅MOSFET器件,Littelfuse碳化硅MOSFET可在各方面提供同等或更优越的性能。

如何导通MOSFET?你该知道的都在这儿

cathy /

在面向功率电子专业人士的网站上,如何导通 MOSFET 的话题可能不值一提,就好像在烹饪展上问如何把水烧开一样。毕竟这不应当是个大问题。与双极型器件不同,场效应晶体管是多数载流子器件(majority carrier device)。我们无需担心电流增益,定制基础电流以匹配 hfe 和可变集电极电流的极值,或者提供负压驱动。MOSFET 是电压驱动的,所以当把等于或大于阈值的电压施加到栅极时它们就会导通,是不是?这些假设有多么错误取决于何时发现错误。量产最后期限之前的时间通常只有几天。没有一例记载表明设计工程师在仿真期间发现了问题。

随着越来越多转换器采用数字控制,需要重新认识如何导通 MOSFET(或者在更基本层面,确定应当施加到栅极的最小电压)的问题。虽然数字控制可提供高一级的灵活性和功能性,但用于实现数字控制的 DSP、FPGA 和其他可编程器件在工作时使用的却是低电源电压。因此,有必要将最终 PWM 信号的电压提高到 MOSFET 栅极要求的水平。这时,由于对 MOSFET 导通的真正原因的错误认识,问题随之出现。许多数字设计工程师着眼于栅极阈值电压并得出结论:如同其数字逻辑一样,MOSFET 将在阈值被超过时立即改变状态。

东芝宣布推出新一代超结功率MOSFET

demi /

<font color="#FD8900">新器件进一步提高电源效率</font>

东芝电子元件及存储装置株式会社(“东芝”)推出新系列的下一代650V功率MOSFET,用于数据中心服务器电源、太阳能(PV)功率调节器、不间断电源系统(UPS)和其他工业应用。

TK040N65Z是DTMOS VI系列的首款器件,是一款支持高达57A连续漏极电流(ID)的650V器件,而出现脉冲电流(IDP)时,可支持高达228A的连续漏极电流。该款新器件提供0.04Ω(0.033Ω典型值)超低漏源极导通电阻RDS(ON),可有效减少电源应用中的损耗。得益于更低的电容设计,该款增强型器件成为现代高速电源应用的理想之选。

关键性能指标/品质因数(FoM) – RDS(ON) x Qgd的降低使得电源效率得到提高。与上一代DTMOS IV-H器件相比,TK040N65Z的这一重要指标提升40%,这意味着电源效率显著提高,据测量,2.5kW PFC电路中电源效率提高大约0.36%[1]。

该款新器件采用业界标准的TO-247封装,既实现了与旧版设计的兼容性,也适用于新项目。

为满足市场需求,东芝将继续扩大其产品阵容并帮助提高电源和电源系统的效率。

MOSFET寄生电容对LLC串联谐振电路ZVS的影响

cathy /

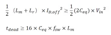
LLC的优势之一就是能够在比较宽的负载范围内实现原边MOSFET的零电压开通(ZVS),MOSFET的开通损耗理论上就降为零了。要保证LLC原边MOSFET的ZVS,需要满足以下三个基本条件:

1)上下开关管50%占空比,1800对称的驱动电压波形;

2)感性谐振腔并有足够的感性电流;

3)要有足够的死区时间维持ZVS。

图a)是典型的LLC串联谐振电路。图b)是感性负载下MOSFET的工作波形。由于感性负载下,电流相位上会超前电压,因此保证了MOSFET运行的ZVS。要保证MOSFET运行在感性区,谐振电感上的谐振电流必须足够大,以确保MOSFET源漏间等效的寄生电容上存储的电荷可以在死区时间内被完全释放干净。

东芝推出紧凑型功率MOSFET栅极驱动器智能功率器件

demi /

<font color="#FD8900">- 新器件尺寸显著减小,适用于汽车用三相无刷电机应用</font>

东芝电子元件及存储装置株式会社(“东芝”)宣布面向汽车用三相无刷电机推出一款全新的紧凑型功率MOSFET栅极驱动器智能功率器件(IPD)。该器件适用于汽车用电机驱动器应用,例如,12V电动助力转向系统(EPS)、油泵/水泵、风扇电机和电动涡轮增压器。

东芝的IPD产品为高边和低边功率开关提供保护,在汽车应用中尤为有用。通常,它们可提供负载短路、负载开路和电源输出短路保护以及包括过热保护在内的ECU异常保护。IPD可直接由微控制器(MCU)控制,同时还向MCU提供诊断反馈。其可减少所需的元件数量,同时提高汽车ECU电路的可靠性。

全新的TPD7212F MOSFET栅极驱动器IPD采用东芝0.13μm BiCD工艺制造,支持在同一芯片上将模拟电路和大量逻辑与功率(DMOS)器件相集成,进而减小汽车系统的尺寸,降低其功耗。