跳转到主要内容

DCDC-BUCK中电感的选型思考

cathy /

DCDC电路应该是硬件设计中最常见的电路,而Buck用得尤其多,下文介绍下电路中电感选型的几个思考。

<center><img src="http://mouser.eetrend.com/files/2020-12/wen_zhang_/100059416-114698-1.p…; alt=“” width="600"></center>

BUCK电路选型的最重要的两个参数:电感值,电感电流。

电感电流一般有2个值:

Isat是指饱和电流,一般指饱和电流(Saturation Current)电感值下降到30%(不同厂家定义有所不同,一般为10%-30%)的电流。(dcdc电路中感电流瞬间值不能超过这个)

Irms是温升电流,也就是加电流后,电感产品自我温升温度不超过40度时的电流。(dcdc电路中电感电流有效值不能超过这个)

电感的损耗有哪些?

cathy 提交于

最近在整理电感的相关知识,说实话,对于电感这类非常基础的东西,也并没有掌握得很好,因为我又温故而知新了。这个新,就是电感的损耗了,我们在工作中或多或少都会遇到电感发烫的问题,那下面就来具体的说一说电感的损耗有哪些,希望能对我们构建知识体系有帮助。

<strong>电感的损耗主要有以下两种:</strong>

线圈损耗:DCR,ACR

磁芯损耗:磁滞损耗,涡流损耗,剩余损耗

<strong>线圈损耗</strong>

DCR,一般认为是电感线圈的直流电阻,这个参数一般在厂家给出的电感规格书中都有。DCR这个比较容易理解,线圈的线总长越长,电阻越大,线圈越细,电阻也越大。

所以,一般来说,电感量越大,DCR越大,因为需要的线圈越长。过流能力大的电感,线圈线径越粗,所以DCR会小一些,但是体积会更大。

电感,电容,电阻在电路中各有什么作用?

cathy /

<strong><font color="#004a85">一、电容</font> </strong>

电容是电子设备中大量使用的电子元件之一,广泛应用于隔直,耦合, 旁路,滤波,调谐回路, 能量转换,控制电路等方面。用C表示电容,电容单位有法拉(F)、微法拉(uF)、皮法拉(pF),1F=10^6uF=10^12pF

<strong>1、电容器的型号命名方法 </strong>

国产电容器的型号一般由四部分组成(不适用于压敏、可变、真空电容器)。依次分别代表名称、材料、分类和序号。

第一部分:名称,用字母表示,电容器用C。
第二部分:材料,用字母表示。
第三部分:分类,一般用数字表示,个别用字母表示。
第四部分:序号,用数字表示。

用字母表示产品的材料:A-钽电解、B-聚苯乙烯等非极性薄膜、C-高频陶瓷、D-铝电解、E-其它材料电解、G-合金电解、H-复合介质、I-玻璃釉、J-金属化纸、L-涤纶等极性有机薄膜、N-铌电解、O-玻璃膜、Q-漆膜、T-低频陶瓷、V-云母纸、Y-云母、Z-纸介

从四个方面理解电阻、电感、电容产生的相位差

cathy /

对于正弦信号,流过一个元器件的电流和其两端的电压,它们的相位不一定是相同的。这种相位差是如何产生的呢?这种知识非常重要,因为不仅放大器、自激振荡器的反馈信号要考虑相位,而且在构造一个电路时也需要充分了解、利用或避免这种相位差。下面探讨这个问题。

首先,要了解一下一些元件是如何构建出来的;其次,要了解电路元器件的基本工作原理;第三,据此找到理解相位差产生的原因;第四,利用元件的相位差特性构造一些基本电路。

<strong>1、电阻、电感、电容的诞生过程</strong>

科学家经过长期的观察、试验,弄清楚了一些道理,也经常出现了一些预料之外的偶然发现,如伦琴发现X射线、居里夫人发现镭的辐射现象,这些偶然的发现居然成了伟大的科学成就。电子学领域也是如此。科学家让电流流过导线的时候,偶然发现了导线发热、电磁感应现象,进而发明了电阻、电感。科学家还从摩擦起电现象得到灵感,发明了电容。发现整流现象而创造出二极管也是偶然。

<strong>2、元器件的基本工作原理</strong>

电阻——电能→热能

电感——电能→磁场能,&磁场能→电能

电容——电势能→电场能,&电场能→电流

电感、磁珠和0欧姆电阻的区别

cathy /

<strong>01、0欧姆电阻</strong>

电路设计中常见到0欧的电阻,大家往往会很迷惑:既然是0欧的电阻,那就是导线,为何要装上它呢?还有这样的电阻市场上有卖吗?其实0欧的电阻还是蛮有用的。大概有以下几个功能,其最重要且经常用的功能是:

重点介绍:模拟地和数字地单点接地

只要是地,最终都要接到一起,然后入大地。如果不接在一起就是“浮地”,存在压差,容易积累电荷,造成静电。地是参考0电位,所有电压都是参考地得出的,地的标准要一致,故各种地应短接在一起。人们认为大地能够吸收所有电荷,始终维持稳定,是最终的地参考点。虽然有些板子没有接大地,但发电厂是接大地的,板子上的电源最终还是会返回发电厂入地。如果把模拟地和数字地大面积直接相连,会导致互相干扰。不短接又不妥,理由如上有四种方法解决此问题:

①、用磁珠连接; 

②、用电容连接;

③、用电感连接;

④、用0欧姆电阻连接。 

<strong>区别:</strong>

①、磁珠的等效电路相当于带阻限波器,只对某个频点的噪声有显著抑制作用,使用时需要预先估计噪点频率,以便选用适当型号。对于频率不确定或无法预知的情况,磁珠不合;

电感饱和是怎么一回事?

cathy 提交于

“电感饱和”这个我一直听到的词汇竟然是如此陌生——我不知道它到底意味着什么,除了电流弯曲失真,烧坏器件这些表象,在物理上“饱和”到底是什么意思?

感值,耐温,饱和电流,尺寸,价格,这五个是我们电感选型的基本坐标系,当然我们还会考虑线圈和磁心的形态,磁材,安装焊接方式。选型过程中最恼火的无过于在数十个电感中找到合适的,却发现其中一个参数不满足要求,或者仅仅因为发生概率极低的峰值功率而导致的饱和电流不足而带来过大的设计裕量。

<strong>感性的秘密</strong>

电感之所以呈现感性,即流过电感的电流会滞后于施加在电感上的电流(事实上是滞后90度相角),是因为楞次定律,电感就像熊孩子抓住家里的宠物,阻碍宠物的前进(电流的变化),你得给熊孩子一些压力,他先会不大情愿,然后再让宠物(电流)走一下(我们充分利用了这个不听话的特性来实现我们扼流Choke的目的);电感又像一个弹簧,当你施加压力的时候,它把一部分能量存在自己体内,剩下的一部分能量传输出去,当弹簧被压缩到极限时,它没办法再存储更多的能量了,即发生饱和,所有增加的能量都被悉数传递出去,电感失去了它的滞后作用。

在物理上弹簧这个例子或许更加恰当,就像下面这段我在网上找到的教科书般的答案:

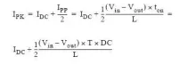
干货|深入剖析电感电流

cathy /

<strong>简介</strong>

在开关电源的设计中电感的设计为工程师带来的许多的挑战。工程师不仅要选择电感值,还要考虑电感可承受的电流,绕线电阻,机械尺寸等等。本文专注于解释:电感上的DC电流效应。这也会为选择合适的电感提供必要的信息。

<strong>理解电感的功能</strong>

电感常常被理解为开关电源输出端中的LC滤波电路中的L(C是其中的输出电容)。虽然这样理解是正确的,但是为了理解电感的设计就必须更深入的了解电感的行为。

在降压转换中(Fairchild典型的开关控制器),电感的一端是连接到DC输出电压。另一端通过开关频率切换连接到输入电压或GND。

<center><img src="http://mouser.eetrend.com/files/2020-07/wen_zhang_/100050411-102042-1.j…; alt=“” ></center>

巧用磁珠和电感各自优势,解决EMI和EMC超简单~

cathy 提交于

磁珠和电感在解决EMI和EMC方面的作用有什么区别,各有什么特点,是不是使用磁珠的效果会更好一点呢?

磁珠专用于抑制信号线、电源线上的高频噪声和尖峰干扰,还具有吸收静电脉冲的能力。磁珠是用来吸收超高频信号,象一些RF电路,PLL,振荡电路,含超高频存储器电路(DDRSDRAM,RAMBUS等)都需要在电源输入部分加磁珠,而电感是一种蓄能元件,用在LC振荡电路,中低频的滤波电路等,其应用频率范围很少超过50MHZ. 磁珠有很高的电阻率和磁导率,等效于电阻和电感串联,但电阻值和电感值都随频率变化。

磁珠的功能主要是消除存在于传输线结构(电路)中的RF噪声,RF能量是叠加在直流传输电平上的交流正弦波成分,直流成分是需要的有用信号,而射频RF能量却是无用的电磁干扰沿着线路传输和辐射(EMI)。要消除这些不需要的信号能量,使用片式磁珠扮演高频电阻的角色(衰减器),该器件允许直流信号通过,而滤除交流信号。通常高频信号为30MHz以上,然而,低频信号也会受到片式磁珠的影响。磁珠有很高的电阻率和磁导率,他等效于电阻和电感串联,但电阻值和电感值都随频率变化。他比普通的电感有更好的高频滤波特性,在高频时呈现阻性,所以能在相当宽的频率范围内保持较高的阻抗,从而提高调频滤波效果。

磁珠和电感的不同作用

cathy /

<strong>磁珠的原理</strong>

磁珠的主要原料为铁氧体。铁氧体是一种立方晶格结构的亚铁磁性材料。铁氧体材料为铁镁合金或铁镍合金,它的制造工艺和机械性能与陶瓷相似,颜色为灰黑色。电磁干扰滤波器中经常使用的一类磁芯就是铁氧体材料,许多厂商都提供专门用于电磁干扰抑制的铁氧体材料。这种材料的特点是高频损耗非常大,具有很高的导磁率,他可以是电感的线圈绕组之间在高频高阻的情况下产生的电容最小。对于抑制电磁干扰用的铁氧体,最重要的性能参数为磁导率μ和饱和磁通密度Bs。磁导率μ可以表示为复数,实数部分构成电感,虚数部分代表损耗,随着频率的增加而增加。因此,它的等效电路为由电感L和电阻R组成的串联电路,L和R都是频率的函数。当导线穿过这种铁氧体磁芯时,所构成的电感阻抗在形式上是随着频率的升高而增加,但是在不同频率时其机理是完全不同的。